人们是怎么发现π的呢?

2021-12-11

作者:佚名

来源:科普中国

A-
A+

人们是怎么发现π的呢?我们又是怎么知道π近似于3.14...的呢?

《物理学家》杂志早在2018年8月24日发文称:很遗憾,π的使用时间比历史上的记载时间还要早,所以,这个问题没人能解答。但是据历史记载,π在最开始使用时还不算太复杂,因此我们可以进行大胆猜测。

众所周知,π是圆的周长与直径之比。一切与圆相关的内容都能和π扯上关系。

测量任意一个圆的周长与直径,然后将两数相除,你就可以得到π了。

任意一个固定形状的直径都与其周长成正比,但这没什么特别的。此定论适用于任意形状。如果将任意图形扩大一倍,则其直径与周长都将扩大一倍,它们之间的比率仍保持不变。

将一个正方形的周长除以其边长永远等于4。

圆的周长与其直径的比例是一个定值,而人们认识到这一点却早于历史记载。但该不完全等于三的数值还需不断精确。要计算出这个具有无限不循环特点(以3.14159265358979323846264...开头)的数值还需要一点数学和时间。

约4000年前,古巴比伦石碑上记载π=3。可这个数值看起来似乎不是那么准确。

如果你将一根绳子一端固定住,另一端绑上鹅毛笔或木炭,那么你就可以画出一个近乎完美的圆。如果用一根更长的绳子(至少得是之前那根绳子的2π倍)和一把尺子,你就可以测量出所画的圆的周长。只要你仔细些,你就可以发现,很显然π≠3。只要测量误差低于4%,你就可以看出其中的差距。古巴比伦人编写了《汉谟拉比法典》,建造了许多令人惊叹的建筑,由此可见,他们有可能很早就有了以厘米为测量刻度的米尺。事实证明,上述的石碑很可能就是一个记录了圆近似值大致区间的“备忘录”。我们知道,古巴比伦人已经得出25/8=3.125,而这个近似值的误差在0.5%以内。得出这个值对于青铜时代的人们来说,已经很了不起了。

只要你在做涉及圆的数学内容,π就会无时无刻不出现在你眼前,因此古代得人们有千千万万次机会发现π的存在,所以我们无法确定究竟是哪一次偶然机会使得人们真正发现了π(这一点正是比历史记录还早的研究发现的缺点)。例如,有一个高为h,直径为d的桶的,容量为

所有的证据都说明了尽管π充满了数学的神秘色彩,但其却是一个实实在在的数值。这是一个你可以切实测量出来的数据。 但不论怎样,它都不等于三。虽然圆越大,计算出来π的值越精确,但其用处会越来越小且枯燥,就好像连续吃一周的寿司自助餐一样,吃多了总会腻。

如果你将π精确到小数点后无穷位数,那么你就可以测算出圆的周长与其直径之比约为1:10N。例如,已知π≈3.14,我们就可以将自行车轮胎安装到轮辋上1厘米以内得范围。已知π≈3.1415,则可以计算出一英亩的圆形田地外所需的围栏长度。当然,已知π≈3.1415926535,则可以不浪费一厘米电缆线而将电缆绕地球一周。可以说,将π精确到小数点后10位是毫无意义的,但这并没有让数学家停下其严苛的演算。一次也没有过。

定义π不仅为我们提供了实际的测量方法,还提供了数以百计的数学方法,而这个过程就是数学的精巧所在。 像阿基米德和刘徽这样的数学家,以及与他们相距几千年的一些不知名的古埃及人,都曾使用切割法来得出π的近似值。刘徽将π精确到小数点后四位数,这比他早约一千年的阿基米德得出的近似值还要精确些。还真是奇怪了。

在罗马对锡拉丘兹的围攻中,马塞勒斯将军以为知识无国界遂下令活捉阿基米德。遗憾的是,直到最后阿基米德也没将几何学原理传授给罗马人。

要么是阿基米德和历史学家失误了,要么是古希腊人比我们获知了更精确的π的近似值。对于给定的圆,“内接正多边形”是指其各顶点接触圆(位于圆的内部),“外切正多边形”是指其各边相切于圆(位于圆的外部)。阿基米德通过在圆内相接和圆外相切正九十六边形计算出圆的周长,以此获得π的近似值。想要确定π的值,可以由内接正多边形得出一个下限,而由外切正多边形得出一个上限。但问题就在于:阿基米德不仅找到了正九十六边形的周长,还发明了一种迭代算法可通过已给定n个角的图形周长来计算2n个边的图形的周长。也就是说,他从正六边形(六个角)开始,然后引导至12角,24角,48角,令人费解的事,最后他推导出96角后就不再继续了。很显然,他还有比计算出更多位数的π更重要的事要做。讲道理,这并不是一个非常精确的数值。但到此,他可能就宣称问题已得到解决了,因为任何人按照他的程序进行操作,都可以得到他们想要π的位数,然后继续投入热射线或类似的事物研究中去(说真的,当时的有钱人们甚至想制造太阳热射线来保卫锡拉库扎)。

每当人们运用阿基米德的迭代算法时,得出的π得近似值精确度都会提高约4倍(其收敛速率为1/4)。可事实上这并没有听起来那样令人振奋。因为每5次迭代就会得出小数点后约3数字。从六边形到96边形阿基米整整算了4次,最后将π精确到小数点后3位。如果他再辛苦一点,重新计算该过程(例如再重复10次),那么他将会将π精确到小数点后9位数。虽然这毫无用处,但觉得值得到处吹牛。

与现代计算方法得出的精确值相比,这些先辈们得出的近似值,不再让人感到骄傲。阿基米德运用技术线性收敛可得出π的精确值(每次使用该算法,得出的π的位数大致相同)。直到我们发明了二次收敛算法后,事情的发展才真正进入正题,二次迭代算法使已知π位数的数量翻倍。也就是说:如果你将π精确到十位数,那么在下一次迭代之后,你将得出π的二十位数。当今最快的算法莫过于非常规地收敛。(每一次计算将比前一步计算结果的精确九倍)。

π的定义为圆周长与圆直径之比,这使我们可以直接但不准确地对圆进行测量,抑或对其进行精确而但却毫无意义的计算。 π还有更抽象的属性(例如,它能无限不循环下去(事实确实如此)或其他任何具有可能性(也只是可能)的形式),但这些抽象属性需要的不只是直接粗暴的数字计算。想得出这些更为抽象的属性,就要立足于π的定义而不是其数值多少,忽略哪怕一个数字,我们可能得出结果但也可能被轻易推翻。在物质世界中数学的确很有用,但数学并不是“原本就生活在这里”。 虽然π具有物理意义,但是我们主要依据其数学特性来了解它。

答案很简单:古代人非常聪明,如果能他们能长生不老的化,他们很可能会一直算下去,知道算出来为止。而这就是阿基米德算法所蕴含的数学基础。老实说,这其实不是阿基米德的计算方式。所以很显然,古希腊数学家受到了错误理念的影响,即小词汇蕴含大玄机。因此,即使再翻译过后,他们的译文仍然像希腊文那样难以理解。

梅德斯先生的方法如下所示。如果In是内接正多边形的周长,而Cn是外部n边的周长,则:

你可以花费九牛二虎之力,再运用大量方程式计算来证明,随着图形边的数量增加,该图形周长将无线接近π(圆的周长),或者你可以直接画一幅画说“看……这是真的”。

先用虚线画一个圆,其有内接和外切n角(蓝色)和2n角(红色)的正多边形。正多边形每段的长度是总周长除以段数(因此,所有段均除以n)。

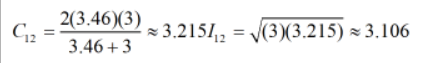
如果将六个等边三角形粘在一起,则会得到一个正六边形,并带有一点三角,您会发现,如果您的圆的直径为1,则内接正六边形的周长为I6 = 3,而外切正六边形的周长为C6 =2√3≈3.46 。

要算出正十二边形的周长,就将C6和I6插入迭代方程式:

而这个周长都比迭代前的任何一个结果都更加接近于π,并且由于所有n的I_n

来源: 天文在线


(责任编辑:王翔)


声明:文章版权归原作者所有,本文摘编仅作学习交流,非商业用途,所有文章都会注明来源,如有异议,请联系我们快速处理或删除,谢谢支持。


(原文章信息:标题:人们是怎么发现π的呢?,作者:佚名,来源:科普中国,来源地址:https://cloud.kepuchina.cn/newSearch/imgText?id=6669289151939416064)

相关新闻

即时要闻

今日专题

热门资讯

佰里服务-公众号

扫码关注随时看