单峰驼?双峰驼?宇宙放大镜下的神秘射电信号
2021-12-11
作者:佚名
来源:科普中国
地球上的物种都是独特的存在,比如骆驼可以简单分为两种:单峰驼和双峰驼。前者适应热漠,后者适应寒漠。这就是为什么在敦煌鸣沙山你骑的都是双峰驼,而在迪拜沙漠里游荡的却都是单峰驼。宇宙天体的信号也都是独特的存在,让天文学家们为之着迷。今天要介绍的是一类宇宙深处神秘“闪光”的“单峰驼”“双峰驼”特质。

沙漠中的驼队 | 图源:pixabay
来自宇宙深处的神秘“闪光”
快速射电暴(FRB)是持续时间在毫秒量级的射电波段高能瞬变信号。从2007年发现第一个FRB至今,已累计探测到几百个[1]。仅加拿大CHIME望远镜最近一次就发布了500多个新的FRB[2]。“中国天眼”FAST更是从另一个维度创下FRB观测次数的记录:1652次!超越过去10年所有文献记载的FRB数量总和[3]。根据最新的观测结果估计,宇宙中FRB的发生率还是很高的,至少每天约800例。
FRB的起源是当今最令人兴奋的天体物理学新谜团之一。科学家们为此提出了多个理论模型解释,比如,大质量中子星坍缩成黑洞、双白矮星并合、中子星和小行星碰撞等等。

快速射电暴FRB及其定位艺术概念图 | 图源:CSIRO Howells A.
奇怪的双峰
据统计全球的单峰驼数量大概是双峰驼的10倍。有趣的是,迄今发现的FRB几乎都是单峰的脉冲轮廓,双峰的FRB为数不多,就好像在茫茫沙漠中一个单峰驼队中,突然冒出了几只双峰驼,我们不禁会想,它们是哪来的呢?
最近,中国科学院紫金山天文台的一个研究团队尝试用引力透镜效应来解释这些双峰FRB。


双峰FRB121002和130729的时延和流量比各不相同 | 图源:[4]+附加效果
宇宙中的巨型放大镜
引力透镜效应是爱因斯坦广义相对论的“神预言”:指背景天体发出的辐射在经过前景恒星、星团、星系、星系团及黑洞等天体附近时会发生偏折,就好像经过了透镜一样,从而可以看到背景天体被放大、缩小、扭曲的像甚至多重像。我们看到的部分宇宙图像其实是它在这个巨型“放大镜”下的“幻像”。

强引力透镜艺术想像图:遥远天体的光线在被引力透镜偏折后可能呈现多个像,而每个像到达观测者的时间不同,又会导致光变曲线的多峰现象。| 图源:ALMA (ESO/NRAO/NAOJ), L. Calçada, Y. Hezaveh et al.
根据前景天体引力场强弱以及在视线方向与背景天体的对齐程度的不同,又分为强引力透镜、弱引力透镜、微引力透镜。遥远的类星体在强引力透镜作用下会形成诸如“孪生类星体”“爱因斯坦十字”和“爱因斯坦环”等。

引力透镜效应下的“孪生类星体”“爱因斯坦十字”“爱因斯坦环” | 图源:HST
科学家们自然产生联想:“双峰驼”FRB会不会是透镜下的双重像呢?
解读宇宙信件
紫金山天文台研究团队用数值模拟的方式将这个想法付诸行动[5]。他们发现在点质量透镜下,我们是可能看到快速射电暴信号的两个像的,原本的单峰轮廓会变成双峰轮廓。那么从这个双峰轮廓我们又能得到什么有用的宇宙信息呢?
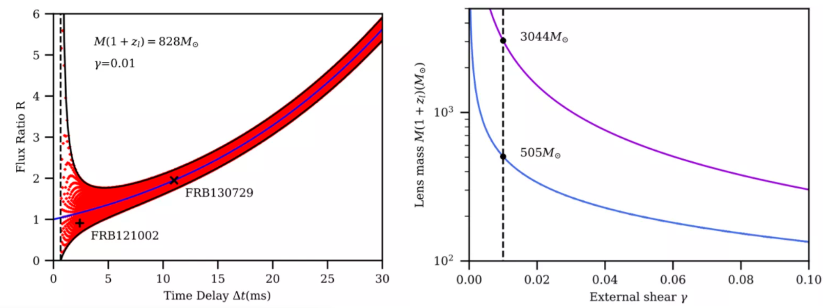
进一步的研究给出了回答,这可以帮助我们对透镜天体“称重”。科研人员利用双峰之间的时间差(时延)和高度比(流量比),估计透镜天体的质量。对于FRB130729来说,如果双峰轮廓是由一个点质量天体的引力透镜造成的,那这个透镜至少得有几百个太阳质量那么重,比如很可能是中等质量黑洞。这类天体缺少光学对应体,也很少有存在的证据,如果能在双峰FRB中找到强引力透镜的信号,就有可能成为一种直接测量中等质量黑洞质量的方法。
研究还发现:一个点质量透镜导致的双峰轮廓,总是前面的峰略高,就像FRB 130729那样前高后低的双峰,却无法产生FRB 121002那样后峰高于前峰的轮廓。科研人员经过深入分析后发现:点质量透镜如果受到周围邻居的影响(通常指外部剪切,可以理解为来自透镜天体以外环境的一种轻微的扭曲作用),后面的峰就可能会高一点,FRB 121002那样的轮廓就可以解释了。这时,就不能得出透镜天体的确切质量了,但还是可以估计它的质量范围。

(左)点质量透镜模型(蓝色实线)和点质量加外部剪切透镜模型(红色散点)下两像系统流量比R和时间延迟∆t的关系分布。(右)FRB 121002双峰点质量加外部剪切透镜模型给出的透镜天体的质量范围估计 | 图源:[5]
目前发现的双峰FRB还不多,并且也还没有明确的引力透镜证据,但随着FRB发现数目的大幅增加,希望其中“双峰驼”的数目也相应增加。那时,科学家们就有机会最终证实引力透镜效应是否FRB双峰的成因。果真如此的话,我们甚至有理由期待“四峰驼”FRB的出现,帮助我们解读神秘“闪光”所携带的更多宇宙秘密。
参考资料:
[1] http://www.frbcat.org
[2] https://www.chime-frb.ca/catalog
[3] Li D., Wang P., Zhu W.W. et al. Nature 598, 267-271(2021).https://doi.org/10.1038/s41586-021-03878-5
[4] Champion D. J., et al. MNRAS 460, L30-L34 (2016).https://doi.org/10.1093/mnrasl/slw069
[5] Chen X. C., Shu Y. P., Zheng W. W. et al. ApJ 912, 134.https://doi.org/10.3847/1538-4357/abf119
作者简介
陈雪纯
中国科学院紫金山天文台博士研究生,研究方向:引力透镜。论文[5]的第一作者。
轮值主编:苏杨、杜福君
编辑:王科超、高娜
(责任编辑:王翔)
声明:文章版权归原作者所有,本文摘编仅作学习交流,非商业用途,所有文章都会注明来源,如有异议,请联系我们快速处理或删除,谢谢支持。
(原文章信息:标题:,作者:佚名,来源:科普中国,来源地址:https://cloud.kepuchina.cn/newSearch/imgText?id=6848683310114004992)
佰里服务-公众号
扫码关注随时看