雨中走路淋雨多还是跑步淋雨多?

2022-02-19

作者:李永乐老师

来源:科普中国

A-
A+

如果有一天下雨了,你刚好没有带伞,还没有地方避雨,那么你会选择在雨中漫步还是奔跑呢?

这是一个古老的问题,引起了国内外的数次讨论。中央电视台《加油向未来》节目还做了个实验,得出了跑步淋雨少的结论。国外的节目《流言终结者》也做了实验,而且做了两次,居然得到了相反的结果。

原因在于,这个问题在实际中影响因素非常多,例如雨量、风速、人的速度、人的表面积和形状等等,都会影响实验结果。尤其是如果雨滴下落时不均匀,那么随机性就会变得更大。

物理模型

我在这里基于简单的物理模型做一个分析。所谓物理模型,就是从一个实际的复杂问题中抽象出最核心的内容,而忽略其他不重要的影响因素。例如我们研究地球围绕太阳运动,就把地球看作一个点,而不去管地面上的山川河流,这就是质点模型。作为一个模型,我们必须给出一些假设,虽然这些假设可能与实际情况并不完全相同。

假设1:雨是均匀的,雨滴无限小而且各处密度均匀,单位体积内雨的质量为ρ。

假设2:没有风,雨滴匀速下落,速度为v。

假设3:人匀速运动,运动的速度为u。

假设4:把人的身材看作一个长方体,人身体前方的面积为S1,头顶的面积为S2。

假设5:人的目标是从A地到达相距L的B地。

有了以上假设,我们就可以进行计算了。人在雨中向前运动,头顶会淋雨,前面也会淋到雨。我们要分别计算这两部分。

基本分析

我们首先要研究的是空间中哪些雨落在了人的身上。如果选取地面作为参考系的话,人在运动,雨也在运动,问题会比较复杂。我们可以换一个参考系——以人为参考。这样一来,人就可以看作静止不动的,而雨滴在竖直方向具有下落的速度v,在水平方向具有相对于人向后的水平速度u,雨滴相对于人就是斜向下运动的,如图所示↓

1.png

人从A地到B地的过程中,雨滴相对于人向斜下方匀速直线运动,能够落到人身上的雨滴(忽略人头顶的一个小三角形)都在他斜前方一个柱体内,如图中的ACDE部分。这些雨滴会朝着人奔跑,最终撞到人身上。

图片

这是一个斜柱体,它的底面积是人迎接雨滴的截面积S,如图中AE部分所示;而柱体的高是AB之间的距离AB=L。根据柱体体积公式得到雨滴体积V=SL,单位体积的雨滴质量为ρ,于是最终落到人身上的雨滴的总量为:m=ρSL。

如何淋雨少?

那么,如何才能淋雨更少呢?

显而易见,无论以多大速度奔跑,AB之间的距离L是一定的。当奔跑速度不同时,雨滴相对于人的速度不同,因而柱体的倾斜程度不同,截面积S不同。

22.png

如上图所示,如果人的奔跑速度比较大,雨滴相对于人速度更接近水平,这样人迎接雨滴的截面积为AF部分;如果人的奔跑速度比较小,雨滴相对于人速度方向更加竖直,人迎接雨滴的面积是AE部分。

显然,柱体AFIH和柱体AEDC的高相同,但是AF部分面积更小,柱体体积更小,柱体中的雨质量更小,即人以更大速度奔跑时,淋雨少。如果人以无限大的速度奔跑,则雨滴一点也不落到头顶,而是全部落在人的身体前侧面。

还能再给力一点吗?

那么,如果人已经达到最大奔跑速度了,还有没有可能继续减少淋雨呢?

其实我们还有办法。因为人的头顶面积小于身体前面的面积,我们可以让身体倾斜过来,迎接雨滴,这样就可以使得人迎接雨滴的面积进一步减小,雨柱体变得更细。

33.png

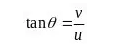
如果要获得最小的迎接雨的底面积,就应该完全用头顶面积迎接雨,此时人的倾斜程度应该与雨相对于人的速度方向平行。如图所示,这个夹角用三角函数表示就是:

5.png

比如人的奔跑速度和雨滴下落速度相同时,人向前倾斜45度角是最好的。

综上所述,在一定的模型条件下,人以尽量大的速度奔跑,并且使身体向前倾斜,可以使落到身上的雨滴减少。如果我们可以精巧地调整身体的角度,使得总是只有头顶迎接雨滴,那么我们只需要一小块挡住脑袋的荷叶,就可以保证身上一点水都没有。


(责任编辑:符文强)


声明:文章版权归原作者所有,本文摘编仅作学习交流,非商业用途,所有文章都会注明来源,如有异议,请联系我们快速处理或删除,谢谢支持。


(原文章信息:标题:雨中走路淋雨多还是跑步淋雨多?,作者:李永乐老师,来源:科普中国,来源地址:https://cloud.kepuchina.cn/newSearch/imgText?id=6893919628909936640)

相关新闻

即时要闻

今日专题

热门资讯

佰里服务-公众号

扫码关注随时看